黑巧克力促進胰島素,有助改善糖尿病
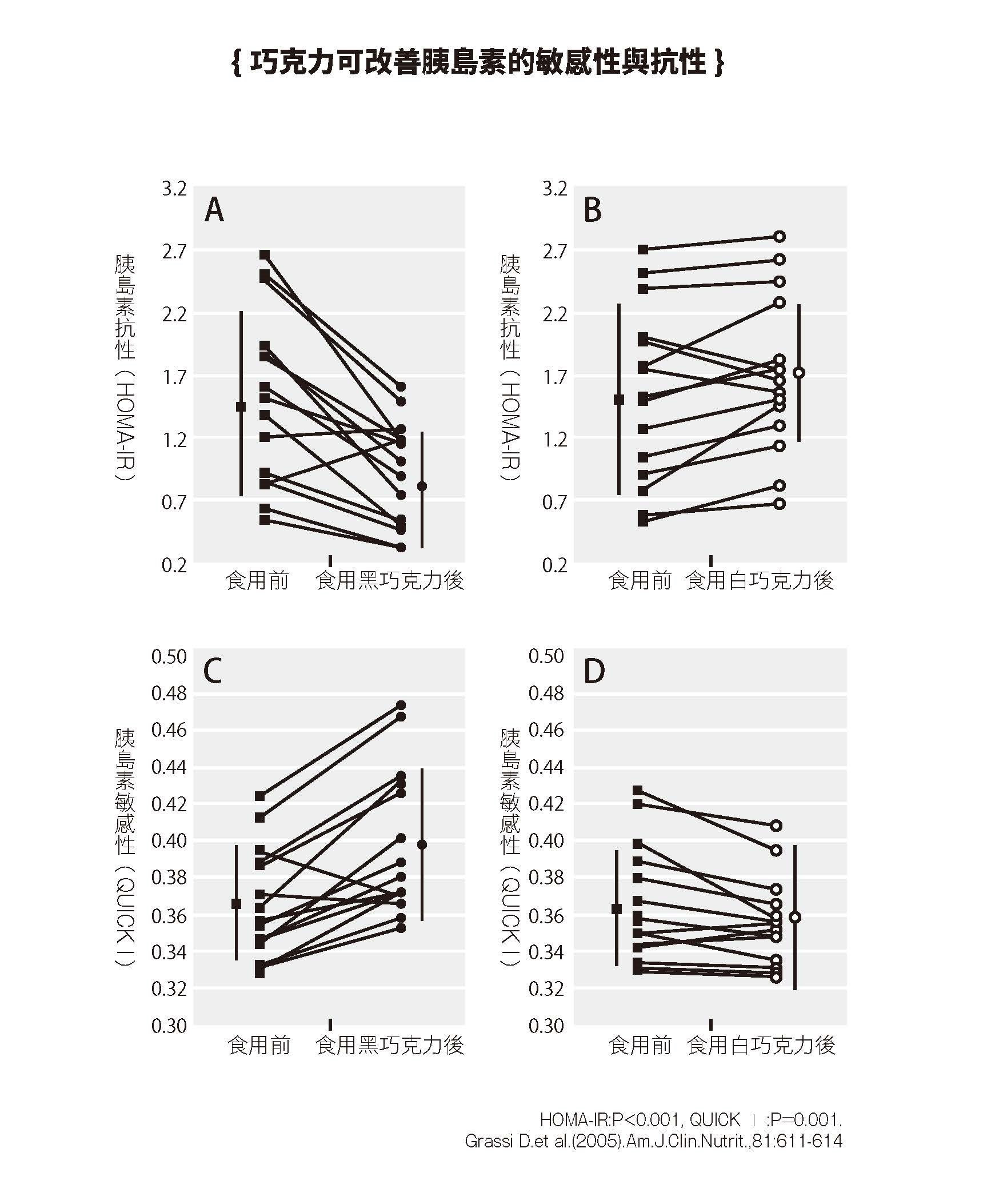
聖薩爾瓦多醫院的醫師格拉西(Grassi)等人證實藉由食用巧克力可促進胰島素運作。他做了一項實驗,將健康成人分成2組,先讓各組分別食用黑巧克力100公克及白巧克力90公克連續15天,然後休息7天,接著將兩組食用的巧克力調換,繼續食用15天後,比較實驗前與實驗後兩組胰島素的抗性、敏感性變化。
實驗結果如圖1所示。食用白巧克力後,胰島素抗性有一定程度的增加,相形之下,食用黑巧克力後則是明顯下降;胰島素敏感性也一樣,食用白巧克力後胰島素敏感性微降,但吃了黑巧克力卻有明顯上升的趨勢。胰島素抗性升高、敏感性下降會使血糖值上升,造成糖尿病惡化。換句話說,黑巧克力可被視為具有促進胰島素效能的作用,並有助於改善糖尿病。
.jpg)
黑巧克力可抑制胰島素分泌和血糖值上升
該實驗也在兩組各別食用2種巧克力連續15天後進行了口服耐糖試驗(葡萄糖耐受性試驗)。測試結果如圖2,可看到食用黑巧克力後血糖值只微微上升,血液中的胰島素含量也在減少。糖尿病患者及未來可能罹患糖尿病的人會發病或情況惡化是因為飯後血糖值大幅上升,胰島素大量分泌。吃黑巧克力可抑制血糖值和胰島素上升,所以有助於預防或改善糖尿病。一般認為,食用黑巧克力能有如此效果是因其所富含的可可多酚(含500毫克)的作用。

「吃巧克力會發胖」的觀念其實是誤會啦!
日本研究巧克力的先驅木村修一醫生(東北大學名譽教授、昭和女子大學名譽教授),以東京都內80位女大學生為對象,調查巧克力食用量與顯示肥胖程度的指標BMI值之間的關聯。從調查結果完全看不出這兩者之間有任何關聯性,食用大量巧克力不一定會發胖,而有些人即使沒吃巧克力也有肥胖傾向。大澤俊彥醫生(愛知學院大學心身科學部教授)在報告中也指出吃巧克力不會特別讓體重增加。有很多實驗都在研究巧克力對健康的影響,卻沒有任何一篇報告指出巧克力會導致肥胖。認為「吃巧克力會發胖」的觀念至今仍如「常識」般深植人心,但它其實是莫大的「誤解」。
真相是巧克力本身的脂肪不易消化,吃了不會發胖!
看一下巧克力的熱量,50公克牛奶巧克力片的熱量是289卡,相當於1碗半的白飯,所以巧克力可說是濃縮的高熱量食品。大家常說「登山要隨身攜帶巧克力以備危難之用」就是這個道理。儘管巧克力熱量很高,吃了卻不會發胖,這是什麼原因呢?巧克力的熱量有一半以上來自其所含的脂肪(可可脂),但可可脂的主要成分脂肪酸(stearic acid)和別種油脂的脂肪酸相比,卻較不易被人體消化吸收。木村醫生針對這點也進行了一項有趣的實驗。該實驗分別以牛奶巧克力、黑巧克力及白巧克力為主要成分製成3種飼料,另外準備一種完全不含巧克力的飼料作為對照用。這4種飼料的營養成分和熱量完全相同。將進行實驗的老鼠分成4組,分別餵食這4種飼料15∼29天,然後比較這4種老鼠的體重差異。結果體重由多到少依序是:A.對照飼料組、B.白巧克力組、C.牛奶巧克力組和D.黑巧克力組。如果對照組攝取的熱量以100來計的話,其他組別老鼠所攝取的熱量相形之下就只有70%∼80%,這是因為巧克力所含的脂肪不易被消化吸收,所以吃了不會發胖。一般認為即使是這種不易被消化吸收的脂肪,在遭遇山難等沒有食物可吃情況時,也應該可被人體充分吸收、成為身體的熱量來源。
「肥胖是糖尿病的大敵」這句話糖尿病患者聽都聽膩了,才會一直認為吃了會發胖的巧克力絕不能碰吧!事實上,巧克力不僅吃了不會發胖,還可能改善糖尿病,被認為對糖尿病有害的巧克力也許會變成治療糖尿病的妙藥也說不定。

本文引自出色文化栗原毅 出版書籍《吃巧克力控制糖尿病》(出色出版)
★前往博客來看新書
🔻醫聯網多元服務,等您來體驗🔻
◾️ 了解健康檢查: https://med-net.com/PrecisionMedicine
◾️ 線上醫師諮詢: https://expert.med-net.com/index
0 則回覆